ООО «Априори Системс»
E-Mail адрес: sale@aprioris.ru
Телефон: 8-800-700-57-15 (бесплатный звонок по России)
Сайт aprioris.ru
А1525 SOLO компактный ультразвуковой дефектоскоп-томограф
Технические вопросы: +7 812 640-40-13 доб. 314
Отправить заявку: sale@aprioris.ru
(с НДС)
А1525 SOLO компактный ультразвуковой дефектоскоп-томограф
Легкий и удобный в использовании ультразвуковой высокочастотный дефектоскоп - томограф с визуализацией внутренней структуры сварного шва и тела металла в режиме реального времени.
Преимущества
- Доступная цена.
- Быстрота и эффективность контроля благодаря наглядному отображению сечения объекта (B-Скан) в режиме реального времени с частотой смены кадров до 35 Гц.
- Улучшенная чувствительность в ближней зоне (ЦФА / TFM метод).
- Скорость сканирования вдоль сварного соединения до 70 мм/с (при шаге сканирования 2 мм).
- Малогабаритная 16 элементная антенная решетка поперечных волн с центральной частотой 4 МГц и сектором обзора от 35° до 80° для контроля сварных швов.
- Отображение образов объемных (поры) и вертикально ориентированных (трещины) дефектов благодаря специальным режимам.
Режимы визуализации
В дефектоскопе-томографе A1525 Solo реализованы пять режимов визуализации образов несплошностей, адаптированных к их виду. Данные режимы выбираются в зависимости от различных задач контроля и специфики объекта. Для простой идентификации этих режимов используются символы, приведенные ниже. Там же указаны основные характеристики режимов.
|
Диапазон рабочих температур
|
|
|
Время работы
|
|
|
Масса
|
|
|
Госреестр
|
|
|
Цвет
|
|
|
Особенности
|
СУЩНОСТЬ И СВОЙСТВА ТОМОГРАФИЧЕСКОГО РЕЖИМА
Антенные решётки и сканы (томограммы)
Дефектоскоп в режиме ТОМОГРАФ воспроизводит на экране изображения сечений материала контролируемого объекта. Будем называть их томограммами. В этом режиме для излучения и приёма ультразвука используются многоэлементные антенные решётки продольных и поперечных УЗ волн. В приборе в качестве базовых используются 16-элементные линейные антенные решётки. Устройство данных антенных решёток схематично показано на рисунке 2-1.
Рисунок 2-1 – Устройство антенных решёток. Прямая решётка продольных УЗ волн (вверху), наклонная решётка поперечных УЗ волн (внизу)
Решётка продольных волн представляет собой ряд одинаковых прямоугольных пьезоэлементов, приклеенных к тонкому протектору из твёрдой керамики. Они уложены длинными сторонами друг к другу с некоторым шагом. Каждый пьезоэлемент решётки является прямым совмещённым УЗ преобразователем. Весь ряд пьезоэлементов расположен вдоль продольной оси рабочей поверхности решётки, совпадающей с осью координат X. Общая длина этого ряда в направлении продольной оси образует активную апертуру решётки. Длина одного пьезоэлемента (она перпендикулярна продольной оси решётки) называется пассивной апертурой.
Антенная решётка поперечных волн отличается от решётки продольных волн только тем, что в ней каждый пьезоэлемент установлен на свою клинообразную микропризму. Благодаря трансформации продольной волны в поперечную при преломлении УЗ колебаний на границе призма – металл в ОК излучаются поперечные УЗ волны. В этой решётке каждый пьезоэлемент является, по сути, наклонным УЗ преобразователем.
Основной тип томограмм, который используется для анализа информации при ручном контроле – В-томограмма или В-Скан. Это изображение сечения ОК, плоскость которого перпендикулярна поверхности объекта и совпадает с продольной осью рабочей поверхности антенной решётки. В этой плоскости лежат акустические оси всех элементов решётки, и в этой плоскости происходит визуализация внутренней структуры ОК (рисунок 2-2).
Рисунок 2-2 – Взаимное расположение антенной решётки и реконструируемой В-томограммы в системе координат
Плоскость визуализации по терминологии традиционной дефектоскопии можно назвать также плоскостью падения или основной плоскостью.
Все вероятные нарушения сплошности материала ОК, границы раздела сред (металл – воздух, металл – жидкость), а также возможные проявления нерабочих типов УЗ волн отображаются на экране прибора в виде засветок (точек, пятен, полос) другой яркости или цвета по отношению к фону. Эти засветки будем называть образами. Их форма, размеры и яркость (цвет) зависят от вызвавшей их причины.
Часто, (но не всегда), форма образа может быть похожа на форму отражающей границы достаточно крупной несплошности металла, попавшей в визуализируемое сечение. Малоразмерные несплошности дают образы в виде сосредоточенных пятен.
При сканировании ОК в направлении поперечной оси рабочей поверхности антенной решётки (в направлении оси Y, как показано на рисунке 2-3) с использованием датчика пути происходит последовательная запись в память прибора В-томограмм с некоторым выбранным шагом между томограммами. При этом на экран выводятся изображения С-типа и D-типа (кратко С-Скан и D-Скан). Эти изображения извлекаются из массива записываемых В-Сканов.
Рисунок 2-3 – Взаимное расположение антенной решётки и всех изображений дефектоскопа, реконструируемых в процессе сканирования решёткой объекта контроля
С-Скан – изображение вида «сверху». Оно представляет собой изображение сечения ОК, плоскость которого параллельна внешней поверхности ОК и расположена на некоторой выбранной глубине.
D-Скан – изображение вида «сбоку». Оно отображает сечение ОК, перпендикулярное его поверхности и параллельное направлению сканирования.
Все три сечения ОК, отображаемые томограммами В-, С- и D- типов, взаимно перпендикулярны.
Принцип действия томографа
Принцип действия томографа значительно отличается от действия приборов с фазированными антенными решётками. Излучение и приём УЗ колебаний в томографе происходит поочерёдно отдельными парами пьезоэлементов (элементов) антенной решётки. Эту очерёдность поясняет рисунок 2-4.
Очерёдность такова:
первый – излучатель, он же – приёмник;
- затем второй – излучатель, первый снова – приёмник;
- далее третий – излучатель, первый опять – приёмник;
- и так до последнего 16-го элемента решётки, посылающего в ОК зондирующий импульс. Т. е. первый элемент решётки по очереди принимает УЗ сигналы от каждого элемента решётки.

Рисунок 2-4 – Очерёдность посылок зондирующих импульсов в ОК и приёма УЗ колебаний элементами антенной решётки
Далее очерёдность повторяется, но со второго элемента, затем с третьего и т.д.
Полный цикл излучения и приёма сигналов заканчивается, когда последний 16-й элемент антенной решётки пошлёт в ОК зондирующий импульс и он же примет УЗ сигналы из него.
При такой работе в прибор попадают полностью независимые друг от друга реализации УЗ колебаний от каждой пары элементов антенной решётки (излучатель – приёмник).
Реализация – это последовательность УЗ сигналов, принимаемых элементом решётки в течение заданного интервала времени от момента зондирующего сигнала, преобразованная в электрические колебания и записанная в память прибора. В реализации наряду с полезными эхоимпульсами всегда присутствуют разные помехи, шум структуры металла и шум приёмного тракта.
Независимость реализаций заключается в том, что каждая из них является откликом материала ОК только на один зондирующий импульс одного элемента решётки. Никаких сложений акустических полей от нескольких и даже двух элементов решётки здесь нет, поэтому нет никаких УЗ пучков и управления ими. В любой момент времени есть только рассеянное слабонаправленное излучение УЗ импульса с таким же малонаправленным приёмом УЗ колебаний из ОК (рисунок 2-5).
Рисунок 2-5 – Схема излучения – приема в режиме ЦФА
После полного перебора всех пар элементов антенной решётки с излучением и приёмом УЗ колебаний цикл зондирования начинается снова по приведённой схеме. В каждом таком цикле реконструируется одна В-томограмма. Перебор пар элементов в цикле происходит очень быстро, частота смены изображений на экране прибора составляет от 20 до 60 Гц.
Реконструкция (восстановление) изображения (томограммы) – это процесс работы вычислительного блока томографа, заключающийся в преобразовании по определённому алгоритму массива реализаций УЗ колебаний, принятых из ОК, в массив данных об отражательной способности точек визуализируемого пространства ОК.
Реконструкция томограммы происходит следующим образом (рисунок 2-6).

Рисунок 2-6 – Точки (пикселы) томограммы
Для каждой точки томограммы из каждой принятой реализации выбираются короткие отрезки колебаний длительностью равной длине зондирующего импульса (c∙τi) (где с – скорость УЗ волны, τi – длительность зондирующего импульса) и временем пролёта УЗ импульса от излучившего зондирующий сигнал элемента решётки к визуализируемой точке материала ОК и обратно к приёмному элементу. Эти выбранные отрезки суммируются, и результирующая сумма (в виде такого же отрезка колебаний) записывается в отдельную ячейку памяти. Если в какой-либо визуализируемой точке ОК есть неоднородность материала, то эхосигналы от неё, присутствующие в каждой реализации, накапливаются (складываются в фазе) в ячейке памяти, соответствующей этой точке ОК. Если неоднородности нет, то в памяти накапливаются только колебания шумов (рисунок 2-7).

Рисунок 2-7 – Накопление сигналов
Затем колебания в этих ячейках детектируются, и результирующие числа, пропорциональные отражательной способности соответствующих точек материала ОК, отображаются на экране в виде точек разной яркости или цвета. Таким образом, томограмма представляет собой прямоугольный растр точек, яркость или цвет которых пропорциональны отражательной способности соответствующих точек материала ОК. Причём каждая точка томограммы получена как результат виртуальной фокусировки всех элементов решётки в соответствующую ей точку ОК.
Фокальная зона линейной антенной решётки
Поскольку АР фокусируется в каждую точку пространства, именно фокальная зона решётки и определяет все амплитудные и геометрические зависимости образа несплошности от её координат, размеров, типа и ориентации.
Фокальной зоной любой акустической фокусирующей системы является область пространства вокруг фокуса, в пределах которой амплитуда акустических колебаний превышает определённый уровень относительно её значения в фокусе. Для режима излучения-приёма это область, внутри которой точечный отражатель даёт эхосигнал с амплитудой, превышающей определенный уровень от значения амплитуды эхосигнала от отражателя в фокусе.
Для оценки качества изображения, разрешающей способности прибора и его измерительных свойств особое значение имеют размеры фокальной зоны в основной плоскости падения УЗ волн антенной решётки XOZ (B-Скан) (рисунок 2-8).

Рисунок 2-8 – Схема сечения ОК в плоскости визуализации (В-Скан) в принятой системе координат с элементами линейной антенной решётки и фокальной зоной
Размер br – размер фокальной зоны вдоль направления на фокус (лучевой размер фокальной зоны) почти не зависит от фокусного расстояния, если оно превышает размер активной апертуры решётки. В этом случае br в основном определяется длиной зондирующего импульса дефектоскопа:
br ≈ c × t ,
где c – скорость УЗ волн в ОК;
t – длительность зондирующего импульса.
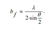
Главное значение имеет размер bf – фронтальный размер фокальной зоны в направлении перпендикулярном линии, проходящей через центр апертуры антенной решётки и точку фокуса. Именно этот размер зависит от фокусного расстояния и от угла α между нормалью к апертуре решётки и направлением на точку фокуса. Угол α назовем направляющим углом.
Размер bf фокусирующей системы, работающей на излучение и приём, по уровню минус 6 дБ от максимума зависит от длины УЗ волны λ и угла θ, под которым «видна» активная апертура системы из точки фокусировки и может быть вычислен по формуле:
На рисунке 2-9 приведен график зависимости фронтального размера bf фокальной зоны от координат x, z для антенной решётки поперечных волн М9170 с апертурой А = 28 мм и рабочей частотой 4 МГц. Длина волны в стали λ = 0,8 мм. На графике величина bf представлена линиями равных значений в миллиметрах.

Рисунок 2-9 – Зависимость фронтального размера фокальной зоны антенной решётки М9170 от координат в плоскости визуализации
Видно, что с увеличением фокусного расстояния и направляющего угла α, размер bf фокальной зоны увеличивается. Так, например, в точке с координатами x = 140 мм и z = 65 мм фокальная зона равна 10,5 мм, а при той же глубине и x = 50 мм – порядка 2,9 мм. При углах α больше 80° даже при небольших расстояниях от АР параметр bf становится большой.
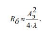
Причина ухудшения фокусировки антенной решётки с ростом направляющего угла α в монотонном уменьшении её эффективной апертуры Аэ = А cosα вплоть до нуля при α = 90°. Поэтому этот сектор между углами 80° и 90° малопригоден при контроле. Стоит определить границу, за которой фокусировка антенной решётки малоэффективна. Критерием может служить примерное равенство фронтального размера фокальной зоны ширине пучка УЗ волн от несфокусированного преобразователя. Согласно фундаментальному правилу, фокусировка возможна только в пределах ближнего поля синфазного (несфокусированного) излучателя, границей является дальность, равная протяженности ближней зоны излучателя. А ширина пучка несфокусированного преобразователя на границе ближней зоны в эхо-режиме по уровню –6 дБ от максимума приблизительно равна четверти апертуры преобразователя.
Поскольку антенная решётка наклонная, то каждому направляющему углу α соответствует своя апертура Аэ и наклонная дальность Rб, определяющая границу ближней зоны:
Поэтому граница ближней зоны антенной решётки тоже зависит от угла α. И этой границей для конкретной антенной решётки служит одна из кривых на поле графика зависимости фронтального размера фокальной зоны от координат фокуса (рисунок 2-9). Это кривая со значением размера bf, равным четверти активной апертуры А антенной решётки.
В частности, для антенной решётки М9170 граница ближней зоны – это кривая bf = 7 мм, так как её апертура равна 28 мм. Область графика на рисунке 2-9 внутри этой кривой (левее и ниже) – ближняя зона. Вне этой кривой (правее и выше) – дальняя зона, в которой фокусировка почти отсутствует и далее совсем пропадает, то есть антенная решетка работает как обычный преобразователь.
При реконструкции томограммы фокальная зона решётки последовательно «помещается» в каждую визуализируемую точку пространства ОК в пределах выбранной зоны обзора. Помещается, конечно, виртуально, путем выборок соответствующих отрезков реализаций УЗ колебаний, принятых элементами антенной решётки, и когерентного суммирования этих отрезков для получения отражающей способности каждой точки материала ОК. Образ отражателя на томограмме формируется как результат наложения образов точечных отражателей (блестящих точек), из которых состоит отражатель. Если его физические размеры меньше длины УЗ волны или соизмеримы с ней, то он представляет собой всего одну блестящую точку. Тогда на томограмме отображается образ фокальной зоны, подобный образу на рисунке 2-10.

Рисунок 2-10 – Образ точечного отражателя (отверстия с полусферическим дном) на экране прибора. Образ оконтурен по уровню минус 6 дБ от его амплитудного значения
Если отражатель больше нескольких длин волн, то он может содержать несколько блестящих точек, которые дают изображение слившейся группы образов фокальных зон. Поэтому размеры и амплитуда образа отражателя на томограмме зависят от соотношения физических размеров отражателя и размеров фокальной зоны антенной решётки там, где расположен отражатель (рисунок 2-11).

Рисунок 2-11 – Формирование образа отражателя, размер которого больше нескольких длин волн
Эти зависимости можно использовать для решения задач определения типа дефекта – объёмный / плоскостной и измерения физических размеров дефектов. Но в рамках данного документа данные решения не рассматриваются.
Все цены на сайте указаны без учета доставки при условии 100% предоплаты.
Для юридических лиц или ИП:
Оплата производится путем безналичного расчета (полной оплаты, частичной предоплаты или по факту поставки на расчетный счет организации) на основании договора поставки, счета на оплату или счет-договора. Во всех документах присутствует подпись и печать, а так же условия оплаты и доставки товара. Копия отправляется по электронной почте или согласованию физического адреса получателя, а оригиналы передаются по факту поставки оборудования.
Существует несколько вариантов оплаты:
Для государственных и бюджетных организаций и предприятий:
Для сотрудничества с бюджетными и государственными организациями по 44-ФЗ и 223-ФЗ предусмотрены следующие варианты оплаты по договору:
- Аванс 30%, остаток 70% по факту поставки;
- Аванс 50%, остаток 50% по факту поставки;
- 100% постоплата по факту поставки.
В связи с изменением курса валют цены на товары и возможность поставки может изменяться. В виду нынешней ситуации уточняйте актуальную стоимость оборудования у Ваших менеджеров.
Наш Компания предлагает несколько вариантов доставки:
- Курьерской службой;
- Транспортной компанией;
- самовывоз из офисов г.Санкт-Петербург и г. Казань - бесплатно
- доставка до терминала или пункта выдачи
Самовывоз
Вы можете забрать товар в одном из наших офисов. Когда заказ поступит на склад и будет скомплектован, Вам придёт уведомление.
Самовывоз происходит по адресу из наших офисов:
г. Санкт-Петербург, БЦ «Александро-Невская Мануфактура», пр. Обуховской обороны, д.70, к.2, офис 601 ( 6 этаж)
г. Казань, ул. Гвардейская, д.15, офис 919 (9 этаж)
Для самовывоза из нашего офиса вам нужно иметь печать организации или доверенность на забор товара.
Курьерская доставка
Вы можете заказать доставку товара с помощью курьера, который прибудет по указанному адресу в счете в будние дни с 9.00 до 18.00. Курьерская служба, после поступления товара на склад, свяжется с вами для уточнения адреса и сообщит время доставки.
Мы отправляем Ваши заказы транспортными компаниями или курьерскими службами:
Деловые Линии;
Курьер Сервис Экспресс;
Major Express;
СДЭК;
EMS.
Для забора товара Вашей курьерской службой, необходимо прислать доверенность на вашу курьерскую службу и накладную.
Ориентировочный срок доставки
В зависимости от вашего региона, выбора курьерской службы - доставка может занимать разное время.
|
Отправка в город |
Срок доставки |
|
Москва |
2 рабочих дня |
|
Санкт-Петербург |
На следующий день |
|
Казань |
3-4 рабочих дней |
|
Ростов-на-Дону |
3-4 рабочих дней |
|
Саратов |
3-4 рабочих дней |
|
Екатеринбург |
3-4 рабочих дней |
|
Новосибирск |
3-5 рабочих дней |
|
Иркутск |
4-6 рабочих дней |
|
Хабаровск |
4-6 рабочих дней |
|
Петропавловск-Камчатский |
6-10 рабочих дней |
Стоимость доставки зависит от удаленности населенного пункта и рассчитывается по тарифам транспортной компании.
Бесплатная доставка доступна при заказе от 100 000 рублей.
Так же на нашем сайте возможно отслеживать доставку Вашего товара по номеру накладной транспортной компании
Действует ли в вашем городе курьерская служба и о возможности доставки в другие регионы России и страны СНГ уточняйте у Вашего менеджера.
Обращаем Ваше внимание!
Представители транспортных служб не принимают оплаты наличными при получении товара.
Обращаем Ваше внимание , что транспортные компании и курьерские службы несет ответственность за сохранность груза. При обнаружении каких-либо недостатков или повреждений упаковки, самого товара или количества мест необходимо в пункте выдачи транспортной компании или при получении по адресу доставки, до подписания документов о получении груза, составить акт о повреждении груза , а так же , сразу осуществить фото или видео фиксацию обнаруженных деффектов и недостатков товара.
В случае подписания документов о получении груза до его осмотра или проверки, при обнаружении претензии приниматься по согласованию сторон.





